HEROLD

 INTERNAL MEDICINE


Examples


Some excerpts from the chapter "Cardiology"
  • Table of contents for this chapter:

  • Name of the disease in frame, ICD-code in addition, clear structure: Synonym, Definition, Epidemiology, Aetiology, Clinic, Differential diagnosis, Diagnosis, Therapy, Prognosis, etc., to get the necessary information quickly:

  • Classifications and informative graphics:

  • Overview of therapeutics:

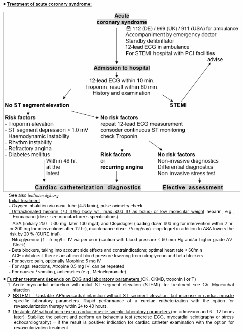
  • Schematic overview of diagnosis and therapy, schematic hints for emergencies:

  • Information about drugs, interactions and doses:

  • Tables and formulas:

  • Important facts are marked with grey background:


    …so you know where to pay attention:


Download an example file with cardiology and hypertension (PDF) or read it online (SWF/Flash)
Download an example file with diabetes mellitus (PDF) or read it online (SWF/Flash)